Структурная схема цифрового фильтра

Для построения структурной схемы фильтра необходимо записать разностное уравнение, связывающее сигналы на входе и выходе цепи и характеризующее заданную цепь во временной области:

,

где (М+1) - число прямых связей;- число обратных связей;, k, n - целые положительные числа.

Как видно, данная форма разностного уравнения учитывает в явном виде наличие в системе прямых и обратных связей.

К разностному уравнению можно перейти, зная передаточную характеристику фильтра H(Z), характеризующую цепь в частотной области. Передаточная характеристика фильтра в общем виде:

Подставляя в общую формулу заданные коэффициенты, получаем передаточную характеристику проектируемого цифрового фильтра:

На основании передаточной функции определяем выходной сигнал:

Далее переходим к оригиналам и записываем разностное уравнение:

По разностному уравнению видим, что значение выходной величины в любой момент времени определяется не только значением входной величины, но и предыдущим значением выходной величины. Следовательно, проектируемый фильтр является рекурсивным. Наиболее часто используют структурные схемы рекурсивных фильтров прямой формы и прямой канонической формы. Прямая форма рекурсивного фильтра реализуется непосредственно по разностному уравнению. Эта схема содержит один сумматор, умножители, соответствующие заданным коэффициентам, и по три элемента задержки во входной и выходной цепях. Структурная схема рекурсивного фильтра прямой формы показана на рис.1.

Рис. 1 - Структурная схема рекурсивного фильтра прямой формы

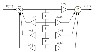
Структурная схема рекурсивного фильтра прямой канонической формы представляет больший интерес для реализации, так как содержит минимальное количество элементов задержки. Структурная схема проектируемого фильтра, приведенная на рис.2, содержит два сумматора, умножители и всего три элемента задержки (минимальное число).

Рис. 2 - Структурная схема рекурсивного фильтра прямой канонической формы

Читайте также

Модуль шестнадцатиразрядного двоичного реверсивного счетчика с параллельно-последовательным переносом, с предустановкой и выводом информации по два разряда, начиная с младшего
В настоящее время происходит компьютеризация практически во всех областях науки, техники, производства…Предпочтение отдается цифровым технологиям, которые считаются более продвинутыми и ...

Разработка конструкции и технологии производства охранной сигнализации на 8 объектов
Цель курсового проекта - разработка конструкции и технологии изготовления охранной сигнализации на 8 объектов. Исходные данные для разработки: задание на курсовое проектирование, прин ...

Проектирование междугородной магистрали между г. Кемерово – г. Лениск-Кузнецкий с использованием симметричного кабеля
Наше время, в особенности последние десять лет, характеризуется бурным развитием телекоммуникационных технологий. Наряду с появлением новых форм передачи информации, совершенствуются тра ...

Основные разделы

Все права защищены! (с)2026 - www.generallytech.ru